網頁

2019年9月8日 星期日

107年身心障礙學生四技二專甄試-數學(C)-詳解


107學年度身心障礙學生升學大專校院甄試試題

甄試類(群)組別:四技二專組
考試科目(編號):數學(C)
單選題,共 20 題,每題 5 分


$$ 3x-2y=5 的斜率為{3\over 2} \Rightarrow L斜率為-{2\over 3} \Rightarrow L: y=-{2\over 3}x+b\\ L過(-1,2) \Rightarrow 2={2\over 3}+b \Rightarrow b={4\over 3} \Rightarrow L: y= -{2\over 3}x+ {4\over 3} \Rightarrow (2,0)在L上,故選\bbox[red,2pt]{(B)} $$



$$\sin{480^o}+\cos{690^o}+\tan{585^o} = \sin{(480^o-360^o)}+\cos{(690^o-720^o)}+\tan{(585^o-720^o)}\\ =\sin{120^o} +\cos{(-30^o)} +\tan{(-135^o)} =\sin{60^o} +\cos{30^o} +\tan{45^o}= {\sqrt{3}\over 2}+ {\sqrt{3}\over 2}+1 \\ =\sqrt{3}+1,故選\bbox[red,2pt]{(D)}$$


:$$\cos{\angle A}= {\overline{AB}^2+\overline{AC}^2 -\overline{BC}^2 \over 2\overline{AB}\times\overline{BC}} ={2+4+2\sqrt{3}-4 \over 2(\sqrt{6}+\sqrt{2})} = {2+2\sqrt{3} \over 2(\sqrt{6}+\sqrt{2})} = {(2+2\sqrt{3})(\sqrt{6}-\sqrt{2}) \over 2(\sqrt{6}+\sqrt{2})(\sqrt{6}-\sqrt{2})} \\={\sqrt{2} \over 2} \Rightarrow \angle A=45^o \Rightarrow \angle B+\angle C=180^o-\angle A=180^o-45^o =135^o,故選\bbox[red,2pt]{(C)}$$


解:
$$\begin{cases} A(4,3)\\ B(1,2)\\ C(5,0) \end{cases} \Rightarrow \begin{cases} \overrightarrow{AB}= (-3,-1)\\ \overrightarrow{BC}=(4,-2) \end{cases} \Rightarrow \overrightarrow{AB} \cdot \overrightarrow{BC}=-12+2=-10,故選\bbox[red,2pt]{(D)}$$



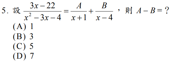
:$${3x-22 \over x^2-3x-4} ={A\over x+1} +{B\over x-4} \Rightarrow A(x-4)+B(x+1) =(A+B)x+(B-4A) =3x-22 \\\Rightarrow \begin{cases} A+B=3\\ -4A+B=-22 \end{cases} \Rightarrow \begin{cases} A=5\\ B=-2 \end{cases} \Rightarrow A-B=5+2=7,故選\bbox[red,2pt]{(D)}$$


:$$f(x)=x^5-6x^4-9x^3+13x^2+5x+4 = x^4(x-6)-x^2(9x-13)+5x+4\\ \Rightarrow f(7)=7^4-7^2\times 50+39 =7^2(49-50)+39 =-49+39=-10,故選\bbox[red,2pt]{(A)}$$




:$$\begin{cases} x-2y+z=7\cdots (1) \\ 3x+y-2z=-1\cdots (2) \\ 2x-3y+z=10\cdots (3) \end{cases}\xrightarrow { 2\times (1)+(2),\; 2\times (3)+(2) } \begin{cases} 5x-3y=13\cdots (4) \\ 7x-5y=19\cdots (5) \end{cases}\\\xrightarrow { 5\times (4)-3\times (5) } 4x=8\Rightarrow x=2,故選\bbox[red,2pt]{(A)}$$


:$$a+2i=\frac { 14+5i }{ 4+bi } \Rightarrow \left( a+2i \right) \left( 4+bi \right) =14+5i\Rightarrow (4a-2b)+(8+ab)i=14+5i\\ \Rightarrow \begin{cases} 4a-2b=14 \\ 8+ab=5 \end{cases}\Rightarrow 8+a(2a-7)=5\quad \Rightarrow (2a-1)(a-3)=0\Rightarrow \begin{cases} a=1/2(不合,需整數) \\ a=3 \end{cases}\\ \Rightarrow b=-1\Rightarrow a-b=3+1=4,故選\bbox[red,2pt]{(C)}$$




$$ 符合不等式條件的區域在右上方,因此\begin{cases}f(A)=18 \\f(B)=24 \\ f(C)=24 \\ f(D)=12 \end{cases} \Rightarrow 最小值為18\\,故選\bbox[red,2pt]{(C)} $$



$$a_k<0 \Rightarrow a_1+(k-1)d <0  \Rightarrow 198-8(k-1)<0 \Rightarrow 206<8k \Rightarrow k>25.7 \Rightarrow k=26,故選\bbox[red,2pt]{(B)}$$


:$$3^{-x^2+5x+1}-27=0 \Rightarrow 3^{-x^2+5x+1}=3^3 \Rightarrow -x^2+5x+1=3 \Rightarrow x^2-5x+2=0 \\ \Rightarrow \begin{cases} \alpha+\beta =5\\ \alpha\beta=2\end{cases} \Rightarrow (\alpha+\beta)^2 =\alpha^2+\beta^2+ 2\alpha\beta \Rightarrow 25=\alpha^2+\beta^2+4 \Rightarrow \alpha^2+\beta^2=21,故選\bbox[red,2pt]{(A)}$$



$$\begin{cases}\log_{1\over 3}{x_2}-\log_{1\over 3}{x_1} = \log_{1\over 3}{x_2\over x_1} =-\log_3{x_2\over x_1}<0 \\ x_2>x_1 \Rightarrow x_2-x_1>0 \end{cases} \Rightarrow {\log_{1\over 3}{x_2}-\log_{1\over 3}{x_1} \over x_2-x_1}<0,故選\bbox[red,2pt]{(D)}$$



$$甲乙丙相鄰且乙要在甲丙之間,有甲乙丙及丙乙甲兩種排法;\\將甲乙丙三人綁在一起算一個人,再與其他三人排列,共有4!排法;\\因此總共有4!\times 2=48種排列數, 故選\bbox[red, 2pt]{(C)}$$


:$$C^5_2\times C^{10}_5= 2520,故選\bbox[red,2pt]{(A)}$$



$$五位數共有5!=120個;45XXX有3!=6個,5XXXX有4!=24個 ;\\因此大於45000的機率為{6+24 \over 120}={1\over 4},故選\bbox[red,2pt]{(B)}$$


:$$原六個數的平均值為(33+34+40+45+49+51) \div 6=42 \Rightarrow 42\times {4\over 3}+ 8 =64,故選\bbox[red,2pt]{(A)}$$




$$x^2+y^2-10x+4y=20 \Rightarrow (x-5)^2+(y+2)^2=7^2 \Rightarrow 圓心O(5,-2),半徑r=7\\
\Rightarrow dist(O,L)=\left|{ 15+8+2\over \sqrt{3^2+4^2}} \right| ={25\over 5}=5= \overline{OC} \Rightarrow \overline{AC}=\sqrt{49-25}=2\sqrt{6} \\\Rightarrow \overline{AB}=2\overline{AC} =4\sqrt{6},故選\bbox[red,2pt]{(D)}$$



:$$16x^2-32x+25y^2+100y=284 \Rightarrow 16(x^2-2x+1)+25(y^2+4y+4)=284+16+100\\ \Rightarrow 16(x-1)^2+25(y+2)^2=400 \Rightarrow {(x-1)^2 \over 5^2}+{(y+2)^2 \over 4^2}=1 \Rightarrow \begin{cases} a=5\\b=4 \end{cases} \Rightarrow c=3\\ \Rightarrow \triangle B_1B_2F_1=bc=4\times 3=12,故選\bbox[red,2pt]{(B)}$$


:$$\begin{cases} \lim_{x\to 1} {f(x)-f(1)\over x-1}=3\\  \lim_{h\to 0} {g(1+h)-h(1)\over h}=5\end{cases} \Rightarrow  \begin{cases} f'(1)=3\\  g'(1)=5 \end{cases} \Rightarrow F'(1)=9f'(1)+10g'(1) =9\times 3+10\times 5=77\\,故選\bbox[red,2pt]{(C)}$$



$$\int_3^6{f(x)\,dx} = \int_3^4{f(x)\,dx} +\int_4^6{f(x)\,dx} \Rightarrow 4= \int_3^4{f(x)\,dx} +6 \Rightarrow \int_3^4{f(x)\,dx}=4-6=-2\\,故選\bbox[red,2pt]{(B)} $$


-- end --

沒有留言:

張貼留言