國立臺南女子高級中學113學年度第1次教師甄選
一、填充題:(每題5 分,共50 分)
解答:$$x_n-2x_nx_{n+1}-x_{n+1}=0 \Rightarrow {x_n\over x_nx_{n+1}}-{2x_nx_{n+1}\over x_nx_{n+1}}- {x_{n+1} \over x_nx_{n+1}}=0 \Rightarrow {1\over x_{n+1}}-2-{1\over x_n}=0\\ 取b_n={1\over x_n},則b_{n}=b_{n-1}+2 =b_{n-2}+2\cdot 2 =b_{n-3}+3\cdot 2=\cdots=b_1+(n-1)\cdot 2 =2n-1 \\ \Rightarrow x_n={1\over 2n-1} \Rightarrow x_kx_{k+1}={1\over 2k-1}\cdot {1\over 2k+1} ={1\over 2} \left({1\over 2k-1}-{1\over 2k+1} \right) \\ \Rightarrow \sum_{k=1}^{200} x_kx_{k+1}={1\over 2}\sum_{k=1}^{200} \left({1\over 2k-1}-{1\over 2k+1} \right) ={1\over 2}\left(1-{1\over 3}+{1\over 3}-{1\over 5}+\cdots+{1\over 399} -{1\over 401} \right) \\={1\over 2} \left(1-{1\over 401} \right) = \bbox[red, 2pt]{200\over 401}$$

解答:$$隊長站中間,只需考慮剩下8人的排列\\ 任排-韓籍在同側-娜璉跟Momo相鄰+韓籍在同側且娜璉跟Momo相鄰 \\=8!-4!4!\times2-C^6_16!\times 2+0= \bbox[red, 2pt]{30528}$$

解答:
$$\cases{\overrightarrow{PA} +\overrightarrow{PB} +\overrightarrow{PC} =0\\ \overrightarrow{PA} \cdot \overrightarrow{PB}=0 } \Rightarrow \cases{P是重心\\ \angle PAB=90^\circ}\\ 假設\overleftrightarrow{CP}交\overline{AB}於點D,則D是\triangle APB外接圓的圓心 \Rightarrow \overline{DA} =\overline{DB} =\overline{DP} =a\\ 又\angle CDA+\angle CDB=180^\circ \Rightarrow \cos \angle CDA+ \cos\angle CDB=0 \Rightarrow a^2+9a^2-16 +a^2+9a^2-9=0 \\ \Rightarrow 20a^2=25 \Rightarrow a^2={5\over 4} \Rightarrow \cos \angle C={9+16-4a^2\over 24} ={20\over 24} = \bbox[red, 2pt]{5\over 6}$$
解答:$$f(x)=\int_c^x (t^2+at+b)\,dt \Rightarrow f'(x)=x^2+ax+b \Rightarrow \cases{f'(1)=0\\ f'(3) =0} \Rightarrow \cases{a+b+1=0\\ 3a+b+9=0} \\ \Rightarrow \cases{a=-4\\ b=3} \Rightarrow f(x)=\int_c^x (t^2-4t+3)\,dt \Rightarrow f(0) =\int_c^0 (t^2-4t+3)\,dt={16\over 3} \\ \Rightarrow \left. \left[ {1\over 3}t^3-2t^2+3t \right] \right|_c^0 =-{1\over 3}c^3+2c^2-3c={16\over 3} \Rightarrow c^3-6c^2+9c+16=0 \\ \Rightarrow (c+1)(c^2-7c+16)=0 \Rightarrow c= \bbox[red, 2pt]{-1}$$
解答:$${(3x^2+2x) +(2x+1) \over 2}\ge \sqrt{(3x^2+2x) (2x+1)} =\sqrt{6x^3+7x^2+2x} \\ \Rightarrow {\sqrt{6x^3+7x^2+2x} \over 3x^2+4x+1} \le \bbox[red, 2pt]{1\over 2}$$
解答:$$\sum_{n=1}^{2024} \left[{n\over 2} \right] =0+1+1+2+2+ 3+ 3+\cdots+1011+1011+1012 \\\qquad =2(1 +2+\cdots+1011) +1012=1012\cdot 1011+1012 =1012^2=1024144 \\\sum_{n=1}^{2024} \left[{n\over 3} \right] =0 + 0+1+1+1+ 2+2+2+\cdots+674+674+674 \\ \qquad =3(1+2+ \cdots +674) =3\cdot {675\cdot 674\over 2}=682425 \\\sum_{n=1}^{2024} \left[{n\over 6} \right] = 0+0+0+0+0+ 1+1+\cdots+ 336+337+337+337\\\qquad =6(1+2+\cdots +336)+337\times 3=340707 \\ 總和=1014144+ 682425+ 340707= \bbox[red, 2pt]{2047276}$$
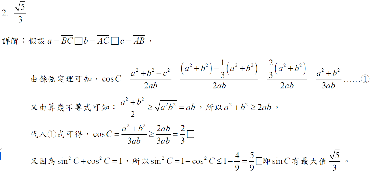
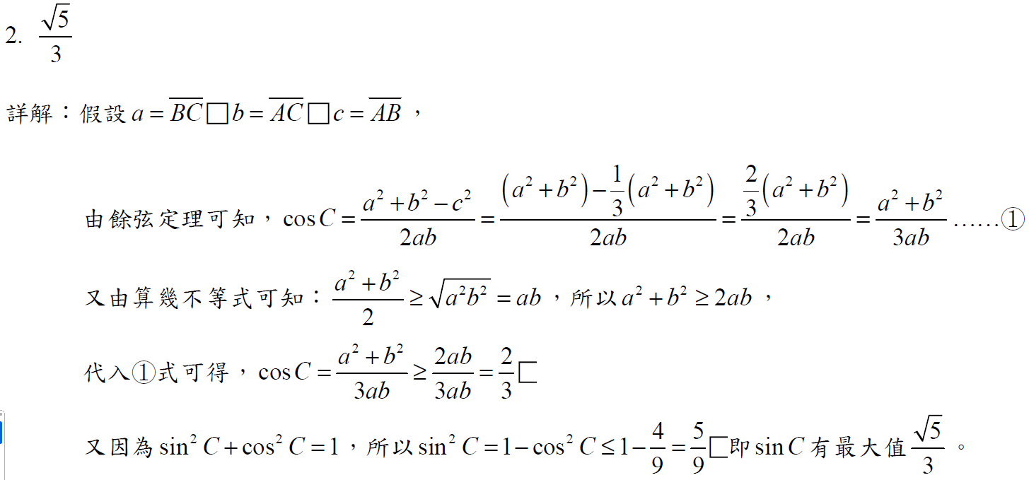
解答:
解答:$$f(x)=\int_c^x (t^2+at+b)\,dt \Rightarrow f'(x)=x^2+ax+b \Rightarrow \cases{f'(1)=0\\ f'(3) =0} \Rightarrow \cases{a+b+1=0\\ 3a+b+9=0} \\ \Rightarrow \cases{a=-4\\ b=3} \Rightarrow f(x)=\int_c^x (t^2-4t+3)\,dt \Rightarrow f(0) =\int_c^0 (t^2-4t+3)\,dt={16\over 3} \\ \Rightarrow \left. \left[ {1\over 3}t^3-2t^2+3t \right] \right|_c^0 =-{1\over 3}c^3+2c^2-3c={16\over 3} \Rightarrow c^3-6c^2+9c+16=0 \\ \Rightarrow (c+1)(c^2-7c+16)=0 \Rightarrow c= \bbox[red, 2pt]{-1}$$
解答:$${(3x^2+2x) +(2x+1) \over 2}\ge \sqrt{(3x^2+2x) (2x+1)} =\sqrt{6x^3+7x^2+2x} \\ \Rightarrow {\sqrt{6x^3+7x^2+2x} \over 3x^2+4x+1} \le \bbox[red, 2pt]{1\over 2}$$
解答:$$\sum_{n=1}^{2024} \left[{n\over 2} \right] =0+1+1+2+2+ 3+ 3+\cdots+1011+1011+1012 \\\qquad =2(1 +2+\cdots+1011) +1012=1012\cdot 1011+1012 =1012^2=1024144 \\\sum_{n=1}^{2024} \left[{n\over 3} \right] =0 + 0+1+1+1+ 2+2+2+\cdots+674+674+674 \\ \qquad =3(1+2+ \cdots +674) =3\cdot {675\cdot 674\over 2}=682425 \\\sum_{n=1}^{2024} \left[{n\over 6} \right] = 0+0+0+0+0+ 1+1+\cdots+ 336+337+337+337\\\qquad =6(1+2+\cdots +336)+337\times 3=340707 \\ 總和=1014144+ 682425+ 340707= \bbox[red, 2pt]{2047276}$$
解答:
$$假設\cases{|\vec a|=1\\ |\vec b|=t} \Rightarrow \cases{|\vec a+\vec b|=\sqrt{t^2+1} \\ |\vec a+2\vec b|=\sqrt{1+4t^2}} \Rightarrow \cos \theta={(1+4t^2)+(1+t^2)-t^2 \over 2 \sqrt{1+t^2} \cdot \sqrt{1+4t^2}} ={2t^2+1 \over \sqrt{1+t^2} \cdot \sqrt{1+4t^2}} \gt 0\\ \Rightarrow \cos^2 \theta={4t^4+4t^2+1\over 4t^4+5t^2+1} =1-{t^2\over 4t^4+5t^2+1} =1-{1\over 4t^2+{1\over t^2}+5} \ge 1-{1\over 4+5} ={8\over 9} \\ \Rightarrow \cos \theta \ge \bbox[red, 2pt]{2\sqrt 2\over 3}$$
$$假設三圓的圓心分別為P,Q,R,則\triangle PQR周長=2(2+3+4)=18 \\\Rightarrow S_{\triangle PQR} =\sqrt{9 (9-5) (9-7)(9-6)} =6\sqrt{6} \Rightarrow \cases{S_{\triangle PAB}/S_{\triangle PQR} =2\cdot 2/5\cdot 6 =2/15 \\ S_{\triangle AQC}/ S_{\triangle PQR} =3\cdot 3/5\cdot 7 = 9/35\\ S_{\triangle RBC} /S_{\triangle PQR} =4\cdot 4/6\cdot 7=8/21} \\ \Rightarrow S_{\triangle ABC} =6\sqrt 6\cdot (1-{2\over 15}-{9\over 35}-{8\over 21}) = 6\sqrt 6\cdot {8\over 35} =\bbox[red, 2pt]{48\sqrt 6\over 35}$$
解答:
解答:
$$\sin x-\cos x=\sqrt 2\log \left|x+{\pi\over 4} \right| \Rightarrow {1\over \sqrt 2}\sin x-{1\over \sqrt 2}\cos x=\log \left|x+{\pi\over 4} \right| \Rightarrow \sin(x-{\pi\over 4})=\log \left|x+{\pi\over 4} \right| \\ 兩圖形\cases{y=\sin(x-\pi/4) \\y=\log|x+\pi/4|} 皆對稱x=-{\pi\over 4},在x=-{\pi\over 4}的左右各有5個交點,\\因此x坐標總和=10\times (-\pi/4) =\bbox[red, 2pt]{-{5\pi\over 2}}\\\log (x+{\pi\over 4})=1 \Rightarrow x=10-{\pi\over 4} \gt {11\pi\over 4} \Rightarrow 兩圖形在y軸右側兩個波形相交,也就是4個交點\\ 又\cases{x=0 \Rightarrow \sin(-\pi/4) \lt \log(\pi/4)\\ x\to -(\pi/4)^+ \Rightarrow \sin(-\pi/2) \gt \log 0} \Rightarrow 兩圖形在-{\pi\over 4}\lt x\lt 0有一交點,因此共五個交點$$
解答:
$$\cases{\overrightarrow{AP} =\overrightarrow{AB}+\overrightarrow{BP} \\ \overrightarrow{AQ} =\overrightarrow{AD} +\overrightarrow{DQ}} \Rightarrow \overrightarrow{AP}+\overrightarrow{AQ} =\overrightarrow{AB}+\overrightarrow{BP} +\overrightarrow{AD} +\overrightarrow{DQ} \\ 若\overrightarrow{BP} + \overrightarrow{DQ} =0,則\overrightarrow{AP}+\overrightarrow{AQ} = \overrightarrow{AB}+\overrightarrow{AD} 使得 |\overrightarrow{AP}+ \overrightarrow{AQ}|最小\\ 因此作直線L=\overleftrightarrow{AD} \bot \overleftrightarrow{DQ} \Rightarrow L:x-y=-2 \Rightarrow d(O,L)= 2\sqrt 2 = \overline{QD} =\overline{OC} \\ \Rightarrow D=(x+y=0)\cap (x-y=-2) \Rightarrow D(-1,1) \Rightarrow \overline{AD} =10\sqrt 2\\ 同理,\overleftrightarrow{OC}: x+y=8 \Rightarrow C(3,5) \Rightarrow \overline{AC}=6\sqrt 2 \Rightarrow \overline{AB} =\overline{AC} -2(圓半徑)=6\sqrt 2-2 \\ \Rightarrow |\overrightarrow{AP}+\overrightarrow{AQ}|=10\sqrt 2+(6\sqrt 2-2)= \bbox[red, 2pt]{16\sqrt 2-2}$$
解答:$$\bbox[cyan,2pt]{學校提供}$$
二、計算證明題:(每題10 分,共50 分)
解答:$$\bbox[cyan,2pt]{學校提供}$$























沒有留言:
張貼留言