國立東石高中 112 學年度第一次教師甄選
一、填充題(每格 5 分,共 80 分)
解答:$$x=\theta-\sin \theta \Rightarrow dx=(1-\cos \theta)d\theta \\\Rightarrow 面積=\int ydx = \int y(t)x'(t)dt = \int_0^{2\pi}(1-\cos\theta)(1-\cos \theta)\,d \theta = \int_0^{2\pi}1-2\cos \theta+\cos^2\theta\,d\theta \\= = \int_0^{2\pi}{3\over 2}-2\cos \theta+{1\over 2}\cos 2\theta\,d\theta= \left. \left[ {3\over 2}\theta-2\sin \theta+{1\over 4}\sin 2\theta\right] \right|_0^{2\pi} =\bbox[red, 2pt]{3\pi}$$
解答:$$a=\cos{\pi \over 3}={1\over 2} \Rightarrow \begin{vmatrix}1 & a & a^2 & a^3 \\3 &2a+1 & a^2+2a &3a^2 \\3 & a+2 &2a+1 & 3a \\1 &1 &1 &1\end{vmatrix} =\begin{vmatrix}1 & 1/2 & 1/4 & 1/8 \\3 &2 & 5/4 &3/4 \\3 & 5/2 &2 & 3/2 \\1 &1 &1 &1\end{vmatrix} \\ \xrightarrow{-3r_1+r_2\to r_2,-3r_1+r_3\to r_3,-r_1 +r_4\to r_4} \begin{vmatrix}1 & 1/2 & 1/4 & 1/8 \\0 &1/2 & 1/2 &3/8 \\0 & 1 &5/4 & 9/8 \\0 &1/2 &3/4 &7/8\end{vmatrix} \xrightarrow{-2r_2+r_3\to r_3,-r_2+r_4 \to r_4}\begin{vmatrix}1 & 1/2 & 1/4 & 1/8 \\0 &1/2 & 1/2 &3/8 \\0 & 0 &1/4 & 3/8 \\0 & 0 &1/4 &1/2\end{vmatrix} \\ \xrightarrow{-r_3+ r_4\to r_4}\begin{vmatrix}1 & 1/2 & 1/4 & 1/8 \\0 &1/2 & 1/2 &3/8 \\0 & 0 &1/4 & 3/8 \\0 & 0 &0 &1/8\end{vmatrix}= 1\cdot {1\over 2}\cdot {1\over 4}\cdot {1\over 8} =\bbox[red, 2pt]{1\over 64}$$
解答:$$x+y+z=5,6,\dots,12 \Rightarrow H^3_5+H^3_6+\cdots+H^3_{12} \\=21+ 28+36+45+55+66+78+91 =\bbox[red, 2pt]{420}$$
解答:$$a_n=C^n_2\cdot 3^{n-2} \Rightarrow \lim_{n \to \infty}\left( {3^2\over a_2} + {3^3\over a_3} + \cdots +{3^n\over a_n} \right) =\lim_{n \to \infty} \sum_{k=2}^{n} {3^k\over a_k} =\lim_{n \to \infty} \sum_{k=2}^{n} {3^k\over C^k_2 3^{k-2}} \\ =\lim_{n \to \infty} \sum_{k=2}^{n} {18\over k(k-1)} =\lim_{n \to \infty} \left(18\sum_{k=2}^{n} \left({1\over k-1}-{1\over k} \right)\right) =\bbox[red, 2pt]{18}$$
解答:$$f(\theta)={2\sin \theta+1 \over 3+\cos \theta} \Rightarrow f'(\theta)=0 \Rightarrow {6\cos\theta+ \sin \theta+2 \over (3+\cos \theta)^2}=0 \Rightarrow 6\cos\theta+\sin \theta+2=0\\ 取x=\tan{\theta\over 2} \Rightarrow \cases{\sin\theta= {2x\over 1+x^2}\\ \cos \theta ={1-x^2\over 1+x^2}} \Rightarrow 6\cdot {1-x^2\over 1+x^2}+{2x\over 1+x^2}+2=0 \\ \Rightarrow 2x^2-x-4=0 \Rightarrow \cases{x={1+ \sqrt{33}\over 4} \Rightarrow \cases{\sin \theta =(4+4\sqrt{33})/(25+\sqrt{33}) \\ \cos \theta=-(9+\sqrt{33})/(25+\sqrt{33})} \Rightarrow f(\theta)={3+\sqrt{33}\over 8}\\x={1-\sqrt{33} \over 4} \Rightarrow \cases{\sin \theta=(4-4\sqrt{33})/(25-\sqrt{33}) \\ \cos \theta =(-9+\sqrt{33})/(25-\sqrt{33})} \Rightarrow f(\theta)={3-\sqrt{33}\over 8}} \\ \Rightarrow \bbox[red, 2pt]{{3-\sqrt{33}\over 8}\le t\le {3+\sqrt{33}\over 8}}$$
8. 有一個袋子,裡面裝了 2 顆紅球,3 顆白球,4 顆黃球,5 顆黑球(球的材質、大小都相同),將袋中的球取出,一次取一顆,取後不放回,求白球先被取完之機率= _____。
解答:$$(a-2b+3c-4d)^{40}-(a+2b-3c-4d)^{20} =((a-4d)-((2b-3c))^{40}-((a-4d)+(2b-3c))^{40} \\=\sum_{k=0}^{40}C^{40}_k \left((a-4d)^k(-1)^{40-k}(2b-3c)^{40-k}-(a-4d)^k (2b-3c)^{40-k} \right)\\ 當k=偶數時,左右項次相消;因此僅剩下k=奇數的項次,也就是\\ (a-4d)^{39}(2b-3c)+ (a-4d)^{37}(2b-3c)^{3}+ \cdots +(a-4d)(2b-3c)^{39}\\ \Rightarrow 項數=40\cdot 2+38\cdot 4+ 36\cdot 6+\cdots +2\cdot 40 =\sum_{k=1}^{20}(42-2k)\cdot 2k \\=\sum_{k=1}^{20}(84k-4k^2) =17640-11480= \bbox[red, 2pt]{6160}$$
解答:$$取\cases{u=2x+3y+z\\ v=3x-2y+z\\ w=2x+3y+2z} \Rightarrow \begin{Vmatrix} u_x & u_y & u_z \\v_x & v_y& v_z \\w_x & w_y &w_z \end{Vmatrix} =\begin{Vmatrix}2 & 3 & 1 \\3 & -2 & 1 \\2 & 3 &2 \end{Vmatrix}=18\\ u^2+v^2+z^2=1的體積={4\over 3}\pi \Rightarrow (2x+3y+z)^2 +(3x-2y+z)^2 +(x+3y+2z)^2=1\\ 的體積={4\over 3}\pi \times{1\over 18} = \bbox[red, 2pt]{2\pi \over 27}$$
解答:$$$$
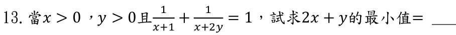
解答:$${1\over x+1}+{1\over x+2y}=1 \Rightarrow x^2+2xy-x-1=0\\ 取\cases{f(x,y)=2x+y\\ g(x,y)=x^2+2xy-x-1} \Rightarrow \cases{f_x= \lambda g_x\\ f_y= \lambda g_y\\ g=0} \Rightarrow \cases{2=\lambda(2x+2y-1) \\ 1=\lambda (2x)} \Rightarrow 2={2x+2y-1\over 2x} \\ \Rightarrow x=y-{1\over 2} 代入g=0 \Rightarrow 12y^2-12y-1=0 \Rightarrow y={3+2\sqrt 3\over 6} (負值不合)\\ 2x+y =2y-1+y=3y-1={3+2\sqrt 3\over 2}-1 ={1+2\sqrt 3\over 2} =\bbox[red, 2pt]{{1\over 2}+\sqrt 3}$$
解答:$$\sin{2\pi \over 7}+\sin{4 \pi \over 7}-\sin{\pi \over 7} =2\sin{3\pi \over 7} \cos {\pi \over 7} -\sin{6\pi \over 7} =2\sin{3\pi \over 7} \cos {\pi \over 7} -2\sin{3\pi \over 7}\cos{3\pi \over 7} \\ =2\sin{3\pi \over 7} (\cos{\pi \over 7} -\cos {3\pi \over 7}) =2\sin{3\pi \over 7} (2\sin{2\pi \over 7} \sin{\pi \over 7}) = \color{blue}{4\sin{\pi \over 7}\sin{2\pi \over 7}\sin{3\pi \over 7}} \\ 令\cases{x=\sin{\pi \over 7}\sin{2\pi \over 7}\sin{3\pi \over 7} \\y=\cos{\pi \over 7}\cos{2\pi \over 7} \cos{3\pi \over 7}} \Rightarrow xy={1\over 8}\sin{ 2\pi \over 7}\sin{4 \pi \over 7}\sin{6\pi \over 7} ={1\over 8}\sin{ 2\pi \over 7}\sin{3 \pi \over 7}\sin{\pi \over 7} \\ \Rightarrow xy={1\over 8}x \Rightarrow x(y-{1\over 8})=0 \Rightarrow y={1\over 8}\; (x\ne 0)\\ 又8x^2 =(2\sin^2{\pi \over 7})(2 \sin^2{2\pi \over 7})(2 \sin^2{3\pi \over 7} ) =(1-\cos {2\pi \over 7}) (1-\cos {4\pi \over 7}) (1-\cos {6\pi \over 7}) \\= (1-\cos {2\pi \over 7}) (1+\cos {3\pi \over 7}) (1+\cos {\pi \over 7})=\cdots =1-{1\over 8}+0 ={7\over 8} \Rightarrow x={\sqrt 7\over 8} \Rightarrow 4x= \bbox[red, 2pt]{\sqrt 7\over 2}\\ \href{https://www.doubtnut.com/question-answer/find-the-value-of-sinpi-7sin2pi-7sin4pi-7-1847631}{完整計算過程}$$
16.將 2 顆綠色珠子,4 顆紅色珠子,3 顆藍色珠子串成一個項圈,試求共有幾種不同方法(假設珠子大小一樣) =____。
解答:$$$$
解答:$$考慮x={x+3 \over 2x-4} \Rightarrow 2x^2-5x-3=0 \Rightarrow (2x+1)(x-3)=0 \Rightarrow 不動點x=-{1\over 2},3 \\ 原式a_{n+1}={a_n+3\over 2a_n-4} \Rightarrow {a_{n+1}+1/2 \over a_{n+1}-3} ={ {a_n+3\over 2a_n-4} +1/2 \over {a_n+3\over 2a_n-4} -3} =-{2\over 5}\cdot {a_n+1/2\over a_n-3}\\ \Rightarrow \left\langle {a_n+1/2\over a_n-3} \right\rangle 為一等比數列,公比為-{2\over 5} \Rightarrow {a_n+1/2\over a_n-3}={a_1+1/2\over a_1-3}\cdot \left( -{2\over 5}\right)^{n-1} =\left( -{2\over 5}\right)^{n}\\ \Rightarrow a_n={ -3\cdot 2^n-{1\over 2}\cdot (-5)^n \over (-5)^n-2^n} =\bbox[red, 2pt]{3\cdot 2^{n+1}+(-5)^n \over 2^{n+1}-2 \cdot (-5)^n}\\ \href{https://web.math.sinica.edu.tw/math_media/d281/28109.pdf}{參考資料}$$
二、計算題(需有計算過程) (每題 10 分,共 20 分)
解答:$$I=\int_{-\infty}^\infty x^4 e^{-x^2/2}\,dx =\int_{-\infty}^\infty y^4 e^{-y^2/2}\,dy \Rightarrow I^2 =\int_{-\infty}^\infty\int_{-\infty}^\infty x^4y^4e^{-(x^2+y^2)/2} \,dydx\\ 令\cases{x=r\cos \theta\\ y=r\sin \theta } \Rightarrow I^2= \int_0^{2\pi} \int_0^{\infty} \cos^4 \theta \sin^4\theta \cdot r^9 e^{-r^2/2}\,drd\theta\\ =\int_0^{2\pi} \cos^4 \theta \sin^4\theta\left. \left[-e^{-r^2/2}(r^8+ 8r^6+ 48r^4+ 192r^2 +384) \right] \right|_0^\infty\, d\theta \\ =\int_0^{2\pi} 384 \cos^4 \theta \sin^4\theta \,d\theta =\left. \left[ 9x-3\sin(4x)+{3\over 8} \sin(8x)) \right] \right|_0^{2\pi} =18\pi \Rightarrow I=\sqrt{18\pi} =\bbox[red, 2pt]{3\sqrt{2\pi}}$$解答:$$考慮x={x+3 \over 2x-4} \Rightarrow 2x^2-5x-3=0 \Rightarrow (2x+1)(x-3)=0 \Rightarrow 不動點x=-{1\over 2},3 \\ 原式a_{n+1}={a_n+3\over 2a_n-4} \Rightarrow {a_{n+1}+1/2 \over a_{n+1}-3} ={ {a_n+3\over 2a_n-4} +1/2 \over {a_n+3\over 2a_n-4} -3} =-{2\over 5}\cdot {a_n+1/2\over a_n-3}\\ \Rightarrow \left\langle {a_n+1/2\over a_n-3} \right\rangle 為一等比數列,公比為-{2\over 5} \Rightarrow {a_n+1/2\over a_n-3}={a_1+1/2\over a_1-3}\cdot \left( -{2\over 5}\right)^{n-1} =\left( -{2\over 5}\right)^{n}\\ \Rightarrow a_n={ -3\cdot 2^n-{1\over 2}\cdot (-5)^n \over (-5)^n-2^n} =\bbox[red, 2pt]{3\cdot 2^{n+1}+(-5)^n \over 2^{n+1}-2 \cdot (-5)^n}\\ \href{https://web.math.sinica.edu.tw/math_media/d281/28109.pdf}{參考資料}$$








沒有留言:
張貼留言