107學年度身心障礙學生升學大專校院甄試試題
甄試類(群)組別:四技二專組
考試科目(編號):數學(B)
單選題,共 20 題,每題 5 分$$-1<x< 6 \Rightarrow (x+1)(x-6)<0 \Rightarrow x^2-5x-6<0 \Rightarrow \begin{cases} a=1\\ b=-5 \end{cases} \Rightarrow a+b=1-5=-4\\,故選\bbox[red,2pt]{(A)} $$
解:
$$ (-1)^2-4(-k+3)< 0 \Rightarrow 4k<11 \Rightarrow k=1,2,共兩個,故選\bbox[red,2pt]{(B)}$$
解:$$\begin{cases} a_1=x\\ a_8=61=a_1+7d\\ a_4=25=a_1+3d \end{cases} \Rightarrow \begin{cases} a_1=-2=x\\ d=9 \end{cases},故選\bbox[red,2pt]{(B)}$$
解:
$$直線2x-3y=6的斜率為{2\over 3} \Rightarrow 與其垂直直線的斜率為 -{3\over 2}=-{2\over b} \Rightarrow b={4\over 3}\\ \Rightarrow 2x+{4\over 3}y=c 過點(0,2) \Rightarrow c={8\over 3} \Rightarrow b+c= {4\over 3}+{8\over 3} =4,故選\bbox[red,2pt]{(C)}$$
解:$$\begin{cases} \sin{\theta}<0 \\ \cos{(\theta+\pi)}< 0 \end{cases} \Rightarrow \begin{cases} \pi <\theta<2\pi\Rightarrow 三、四象限 \\ {\pi \over 2}<\theta+\pi < {3\pi \over 2} \Rightarrow -{\pi\over 2}< \theta< {\pi\over 2} \Rightarrow 一、四象限\end{cases} ,故選\bbox[red,2pt]{(D)}$$
解:$$4^x-3\cdot 2^{x+1}-16=0 \Rightarrow (2^x)^2-6\cdot 2^x-16=0 \Rightarrow (2^x-8)(2^x+2) =0 \Rightarrow 2^x=8 \Rightarrow x=3\\,故選\bbox[red,2pt]{(C)}$$
解:$$\log_2{8}+\log_2{1\over 4} +\log_4{k}=3 \Rightarrow \log_2{2^3}+ \log_2{2^{-2} } +\log_4{k}=3 \Rightarrow 1+\log_4{k}=3\\ \Rightarrow \log_4{k}=2 \Rightarrow k=4^2=16,故選\bbox[red,2pt]{(D)}$$
解:$$\vec{a}\cdot \vec{b}=|\vec{a}|| \vec{b}|\cos{\theta} =4\times 3\times -{1\over 2} = -6 \Rightarrow (\vec{a}+\vec{b})^2 = |\vec{a}|^2+|\vec{b}|^2+2\vec{a}\cdot \vec{b} = 16+9-12 = 13 \\ \Rightarrow |\vec{a}+\vec{b}| =\sqrt{13},故選\bbox[red,2pt]{(A)}$$
解:
$$f(x)=x^3+mx^2+nx-18 = p(x)(x^2-x-6) = p(x)(x-3)(x+2) \Rightarrow \begin{cases} f(-2)=0 \\ f(3)=0 \end{cases} \\\Rightarrow \begin{cases} -8+4m-2n-18=0 \\ 27+9m+3n-18=0 \end{cases} \Rightarrow \begin{cases}m=2 \\ n=-9 \end{cases} \Rightarrow f(x)=x^3+2x^2-9x-18 \\\Rightarrow f(1)=1+2-9-18 =-24,故選\bbox[red,2pt]{(A)} $$
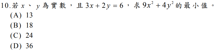
解:
$$((3x)^2+(2y)^2)(1^2+1^2) \ge (3x+2y)^2 \Rightarrow 2(9x^2+4y^2) \ge 36 \Rightarrow 9x^2+4y^2 \ge 18 \Rightarrow 最小值為18\\,故選\bbox[red,2pt]{(B)}$$
解:$$三顆皆為白色的機率為{4\times 3\times 2\over 10\times 9\times 8} = {1\over 30}\\ 三顆皆為綠色的機率為{3\times 2\times 1\over 10\times 9\times 8} = {1\over 120}\\ 因此期望值為600( {1\over 30}+{1\over 120}) =25,故選\bbox[red,2pt]{(B)}$$
解:
$$\sin{\theta}-\cos{\theta}={1\over 3} \Rightarrow (\sin{\theta}-\cos{\theta})^2={1\over 9} \Rightarrow 1-2\sin{\theta}\cos{\theta}= {1\over 9} \Rightarrow \sin{2\theta} = 2\sin{\theta}\cos{\theta} = {8 \over 9}\\,故選\bbox[red,2pt]{(D)}$$
解:
$$此題相當於求x+y+z=2的非負整數解,即H^2_3=C^4_2=6, 故選\bbox[red, 2pt]{(B)}$$
解:$$x^2+y^2+6x-4y-12=0 \Rightarrow (x+3)^2+(y-2)^2=5^2 \Rightarrow O(-3,2)為圓心,半徑r=5\\
令切線方程式: y=mx+b,過(1,5)\Rightarrow 5=m+b \Rightarrow y=mx+5-m\\又切線至圓心距離等於半徑長,即\left| {-3m+5-m-2 \over \sqrt{m^2+1}} =5 \right| \Rightarrow {(-4m+3)^2 \over m^2+1} =25\\ \Rightarrow (3m+4)^2=0 \Rightarrow m=-{4\over 3} \Rightarrow b=5+{4\over 3} = {19\over 3} \Rightarrow 切線方程式 y=-{4\over 3}x+{19\over 3}\\ \Rightarrow 4x+3y=129,故選\bbox[red,2pt]{(D)}$$
解:
$$y={1\over 8}x^2-{x\over 4}-{7\over 8} \Rightarrow 8y=x^2-2x-7 \Rightarrow 8(y+1)=(x-1)^2 \\ \Rightarrow \begin{cases} 頂點(1,-1)\\ 準線y=-3 \\ 焦點坐標(1,1) \\ 正焦弦長=4\times 2=8 \end{cases},故選\bbox[red,2pt]{(C)}$$
解:$$\sqrt{3^2+3^2} +\sqrt{3^2+3^2}=6\sqrt{2},故選\bbox[red,2pt]{(C)}$$
解:
$$\lim_{x\to 1/2}{2x^2+3x-2 \over 6x^2+x-2}= \lim_{x\to 1/2}{(2x-1)(x+2) \over (2x-1)(3x+2)}= \lim_{x\to 1/2}{x+2 \over 3x+2} ={1/2+2\over 3/2+2} ={5/2 \over 7/2}={5\over 7}\\,故選\bbox[red,2pt]{(D)}$$
解:$$平均值\mu=(87+75+78+79+81) \div 5 =80 \\ \Rightarrow 標準差= \sqrt{(87-80)^2+(80-75)^2 +(80-78)^2 +(80-79)^2+(80-81)^2 \over 5}\\ =\sqrt{ 49+25+4+1+1\over 5}=\sqrt{16} =4,故選\bbox[red,2pt]{(A)}$$
解:$$f(x)=(2x^2+4x-1)^3 \Rightarrow f'(x)=3(2x^2+4x-1)^2(4x+4) \\\Rightarrow f'(-2)=3(-1)^2\times (-4) =-12,故選\bbox[red,2pt]{(A)}$$
解:
$$f=g \Rightarrow x^2-4=x-2 \Rightarrow x^2-x-2=0 \Rightarrow (x-2)(x+1)=0 \Rightarrow x=2,-1 \\ \Rightarrow 兩圖形所圍面積=\int_{-1}^2{g(x)-f(x)\,dx}= \int_{-1}^2{-x^2+x+2\,dx} = \left. \left[ -{1\over 3}x^3 +{1\over 2}x^2 +2x\right] \right|_{-1}^2\\ = {10\over 3} +{7\over 6} ={9\over 2},故選\bbox[red,2pt]{(C)} $$
-- end --





















沒有留言:
張貼留言